

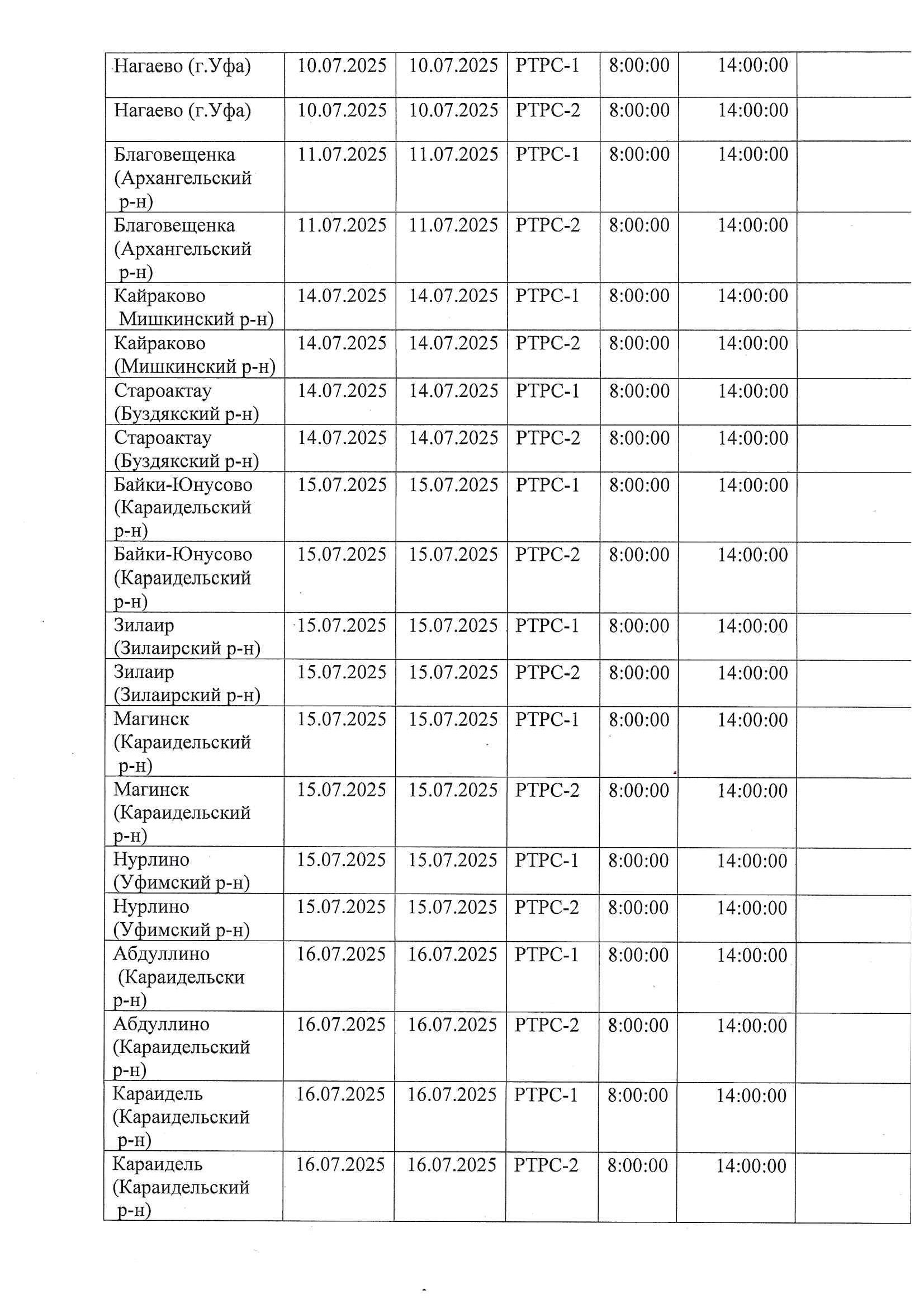
С 7 по 31 июля на территории республики временно не будут работать телевизионные и радиоканалы первого и второго мультиплексов, сообщает «Республика Башкортостан». В каждом населенном пункте - свое время отключения.
Профилактические работы будут вестись по графику.